Introduction: The utility of amyloidosis staging systems has been validated for newly diagnosed patients, but their role in restaging after starting treatment has not been explored. Given the high early mortality in this disease, restaging remote from the diagnosis may have clinical value. We designed this study to evaluate whether the currently used staging systems are prognostic when applied at 3 and 6 months from starting first-line treatment, and whether stage migration impacts survival.
Methods: This is a retrospective study including patients with systemic light chain amyloidosis diagnosed between January, 1st 2006 and June, 30th 2019 and were seen in Mayo Clinic, Rochester, MN within 90 days of diagnosis; the analysis included 535 and 301 patients who had restaging data available for at least one of the staging systems at 3 and 6 months, respectively. Patients were grouped into 4 stages using the 2015 European modification of the Mayo 2004 staging system based on values of cardiac biomarkers (cardiac troponin T and NTproBNP), and using the Mayo 2012 staging system based on cardiac biomarkers and the difference in serum free light chain concentration (dFLC). Overall survival (OS) was calculated from the time of re-staging until death or last follow up.
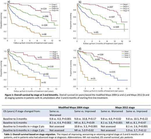
Results: Using the modified Mayo 2004 staging system at 3 months from starting first-line treatment, median OS was 11.8 [95%CI: 11.4-not reached (NR)], 10.8 (95%CI: 9.4-NR), 4.6 (95%CI: 2.8-6.7), and 1.1 (95%CI: 0.7-2.6) years in patients with stage I, II, IIIa, and IIIb, respectively. Using Mayo 2012 staging at 3 months, OS was 11.8 (95%CI: 10.9-NR), 9.0 (95%CI: 6.2-NR), 5.2 (95%CI: 3.3-6.1), and 0.8 (95%CI: 0.7-1.1) years in patients with stage I, II, III, and IV, respectively (Figure 1a &b). Using the modified Mayo 2004 staging system at 6 months from starting first-line treatment, median OS was NR (95%CI: NR-NR), 9.8 (95%CI: 6.2-NR), 5.4 (95%CI: 3.2-9.0) and 0.9 (95%CI: 0.6-3.7) years in patients with stage I, II, IIIa, and IIIb, respectively. Using Mayo 2012 staging at 6 months, OS was NR (95%CI: 8.4-NR), NR (95%CI: 7.9-NR), 4.6 (95%CI: 3.0-6.5), and 0.9 (95%CI: 0.2-1.8) years in patients with stage I, II, III, and IV, respectively (Figure 1c &d).
On multivariate analysis, advanced (stage > 2) modified Mayo 2004 stage (HR: 1.6, P=0.004) and advanced (stage > 2) Mayo 2012 stage (HR: 2.4, P<0.001) at 3 months were associated with decreased survival independent of cardiac response, hematologic response, and transplantation status. Although advanced Mayo 2004 stage at 6 months was associated with decreased survival, it was not statistically significant (HR: 1.5, P=0.09). In contrast, advanced Mayo 2012 stage at 6 months was independently associated with decreased survival (HR: 2.1, P=0.02).
For both systems, worsening stage at 3 months or at 6 months was associated with a worse survival than retaining the original stage. In contrast, improving stage as compared to remaining in same stage was not associated with better survival at 3 or 6 months (Table 1). When the analysis was restricted to patients who had an advanced stage at diagnosis, improving stage at 3 months was associated with longer survival compared to retaining the original stage, with both modified Mayo 2004 (10.8 vs. 3.3 years, P<0.001) and Mayo 2012 (8.1 vs. 2.6 years, P<0.001) staging systems. At 6 months, stage improvement was associated with longer survival than retaining the original stage when the modified Mayo 2004 staging system was used (NR vs. 5.0 years, P=0.02), but it was not statistically significant when the Mayo 2012 staging system was used (5.9 vs. 3.7 years, P=0.12).
Conclusion: The modified Mayo 2004 and the Mayo 2012 staging systems have independent prognostic value when used for restaging after 3 and 6 months from initiation of first-line treatment. Migration to a higher stage from diagnosis predicts decreased survival, compared to retaining the same stage. Stage improvement is associated with a better OS in patients with advanced stage at diagnosis.
Dispenzieri:Alnylam, Intellia, Janssen, Takeda, Pfizer, Prothena, Celgene: Membership on an entity's Board of Directors or advisory committees, Research Funding. Kapoor:GlaxoSmithKline: Research Funding; Sanofi: Consultancy, Research Funding; Janssen: Research Funding; Celgene: Honoraria; Amgen: Research Funding; Takeda: Honoraria, Research Funding; Cellectar: Consultancy. Dingli:Rigel: Consultancy; Millenium: Consultancy; Sanofi-Genzyme: Consultancy; Bristol Myers Squibb: Research Funding; Karyopharm Therapeutics: Research Funding; Janssen: Consultancy; Alexion: Consultancy; Apellis: Consultancy. Lin:Novartis: Consultancy; Celgene: Consultancy, Research Funding; Bluebird Bio: Consultancy, Research Funding; Sorrento: Consultancy, Membership on an entity's Board of Directors or advisory committees; Gamida Cells: Consultancy; Takeda: Research Funding; Merck: Research Funding; Legend BioTech: Consultancy; Juno: Consultancy; Janssen: Consultancy, Research Funding; Vineti: Consultancy; Kite, a Gilead Company: Consultancy, Research Funding. Gertz:Alnylam: Consultancy; NCI SPORE MM: Research Funding; Ionis/Akcea: Consultancy; Amyloidosis Foundation: Research Funding; Celgene: Consultancy; Johnson and Johnson: Speakers Bureau; DAVA oncology: Speakers Bureau; Advisory Board for Pharmacyclics: Membership on an entity's Board of Directors or advisory committees; Advisory Board for Proclara: Membership on an entity's Board of Directors or advisory committees; i3Health: Consultancy; Springer Publishing: Patents & Royalties; Prothena: Consultancy; Sanofi: Consultancy; Janssen: Consultancy; Spectrum: Consultancy, Research Funding; Annexon: Consultancy; Appellis: Consultancy; Amgen: Consultancy; Medscape: Consultancy, Speakers Bureau; Physicians Education Resource: Consultancy; Data Safety Monitoring board from Abbvie: Membership on an entity's Board of Directors or advisory committees; International Waldenstrom Foundation: Research Funding. Kumar:Oncopeptides: Consultancy, Other: Independent Review Committee; IRC member; Genecentrix: Consultancy; Cellectar: Other; Genentech/Roche: Other: Research funding for clinical trials to the institution, Consulting/Advisory Board participation with no personal payments; Celgene/BMS: Other: Research funding for clinical trials to the institution, Consulting/Advisory Board participation with no personal payments; Kite Pharma: Consultancy, Research Funding; MedImmune: Research Funding; Carsgen: Other, Research Funding; Amgen: Consultancy, Other: Research funding for clinical trials to the institution, Consulting/Advisory Board participation with no personal payments, Research Funding; Merck: Consultancy, Research Funding; Janssen Oncology: Other: Research funding for clinical trials to the institution, Consulting/Advisory Board participation with no personal payments; Takeda: Other: Research funding for clinical trials to the institution, Consulting/Advisory Board participation with no personal payments; Karyopharm: Consultancy; AbbVie: Other: Research funding for clinical trials to the institution, Consulting/Advisory Board participation with no personal payments; BMS: Consultancy, Research Funding; Novartis: Research Funding; Adaptive Biotechnologies: Consultancy; Tenebio: Other, Research Funding; Dr. Reddy's Laboratories: Honoraria; Sanofi: Research Funding.
Author notes
Asterisk with author names denotes non-ASH members.

This feature is available to Subscribers Only
Sign In or Create an Account Close Modal